继续教育学院
学院官网
网站首页
部门概况
社会培训
学院简介
组织机构
部门动态
新闻动态
通知公告
政府培训
考级展演
社会艺术水平考级
“浙音”青少年艺术节
成人学历教育
教学培养
艺术实践
管理条例
通知公告
招生报名
当前位置:
网站首页
-
通知公告
-
正文
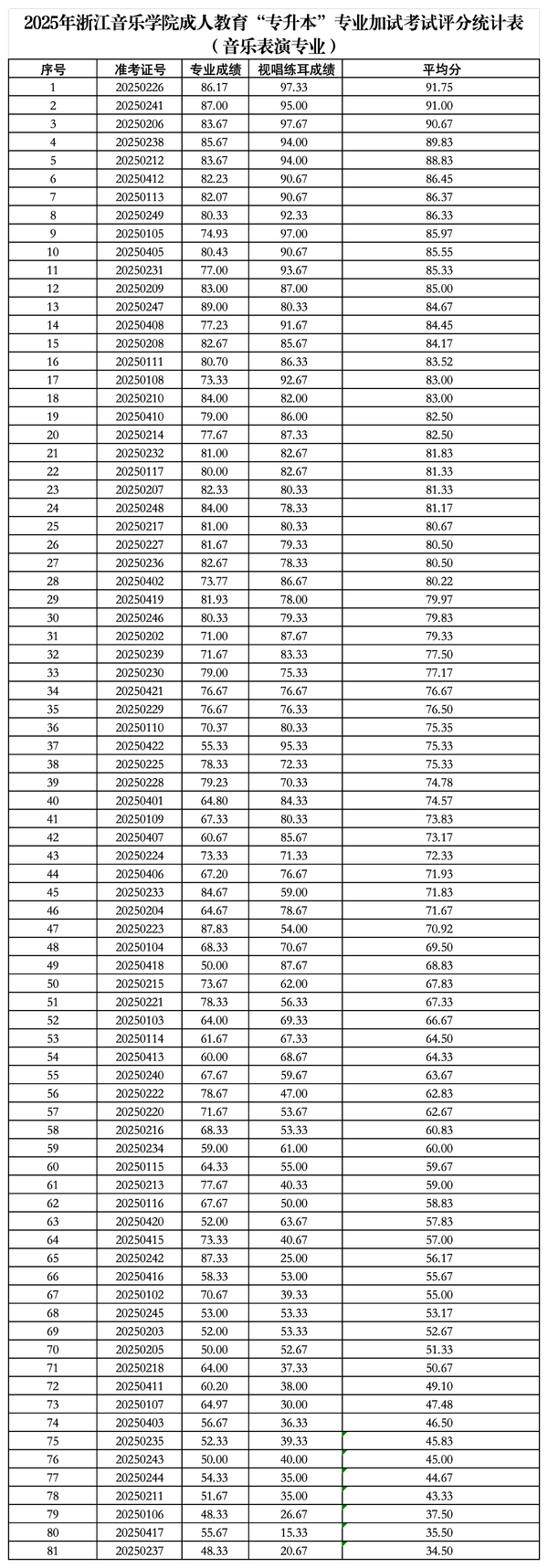
2025年浙江音乐学院成人高等教育“专升本”招生考试专业加试成绩公布
发布时间:2025-11-10
浙江音乐学院2025年成人高等教育“专升本”招生考试专业加试考生成绩予以公布。我院将按上级招生主管部门要求提交。
上一篇: 【没有了】
下一篇:浙江音乐学院2025年成人高等...